רע¶¯Îï¿óÎïÔªËØÓªÑøÓ뽡¿µ

¹Ø×¢¹«ÖںйØ×¢ÊÓÆµºÅ

ÁªÏµµç»°400-027-1997

ÁªÏµµç»°19183816468

3377ÌåÓýÈë¿Ú-ÐÂÎÅÖÐÐÄ

ÈÈËѹؼü´Ê£º µ°¼¦ËÇÁÏÌí¼Ó¼Á³§¼Ò ÉúÎïËÇÁÏÌí¼Ó¼Á Ìí¼Ó¼ÁËÇÁÏ ËÇÁÏÌí¼Ó¼Á³§¼Ò

ÓÃÐÄ×öп£¬ÈÃÉúÃüÖ®»¨¾«²ÊÕÀ·Å£¡

À´Ô´£º3377ÌåÓýÈë¿ÚÎ¢ÓªÑø | ·¢²¼ÈÕÆÚ£º2022-05-21

  1.¿óÎïÔªËØÊÇÉúÃüÌå»ù±¾ÓªÑøËØÖ®Ò»£¬¹¦Ð§·á¸»¶à²Ê£ºÌúÊÇ»îÁ¦Ö®±¾£¬Ð¿ÊÇÉúÃüÖ®»¨£¬ ÃÌÊÇ¹ÇÆøÖ®Ô´£¬ Í­ÊÇϸ¾ú¿ËÐÇ£¬¼ØÊÇÆ½ºâÖ§Öù£¬Ã¾ÊÇϸ°û±£»¤Éñ£¬ µâÊÇÖÇ»ÛԴȪ£¬ îÜÊÇÆ¯ÁÁÅ®Éñ£¬ ÎøÊÇ¿¹Ñõ»¯Í³Ë§¡£

  2.пÊÇÖØÒªµÄ¿óÎïÔªËØ£¬¹¦ÄܶàÑùÇÒÊ®·ÖÖØÒª£º

  A.Õ¼×ÜÌåÖØÔ¼30ppm£¬¹Ç÷À28%£¬¸ÎÔàºÍƤ·ô8%¡¢ÑªÒº2.5%¡¢ÆäËü1.7%¡£

  B.ÓйØ300¶àÖÖø»îÐÔ£¬²ÎÓëµ°°×ÖÊ¡¢Ì¼Ë®»¯ºÏÎï¡¢Ö¬·¾¡¢Î¬ÉúËØ£¨ÈçVA.VC£©´úл¡£

  C.²ÎÓë¼¤ËØµÄ×é³ÉºÍºÏ³É£¬ÒȵºËØ¡¢Ç°ÁÐÏÙËØ¡¢´ÙÉöÉÏÏÙËØ¡¢Éú³¤¼¤ËØ£¬Ó°ÏìÐÔÏٻºÍÐÔ¼¤ËØ·ÖÃÚ¡£

  D.ά³ÖÉúÎïĤµÄ½á¹¹ºÍ¹¦ÄÜ£¬Óëð¤Ä¤ÉÏÆ¤Ï¸°ûÍêÕûÐÔÏà¹Ø

  E.ÔÚÄÔ¹¦ÄÜ¡¢ÊÓ¾õ¼°Æäµ÷½ÚÐÐΪ·½ÃæÓÐÖØÒªµÄ×÷Óá£

  F.ÃâÒ߸¨ÖúÒò×Ó¼°ÔöÇ¿¼Á¡¢¿¹Ñõ¼ÁºÍ²¹Ìå,Ìá¸ßÃâÒßÁ¦¡£

  3.¶ÔÓÚÑõ»¯Ð¿£¬ÊµÏÖÈý´ÎÌáÖÊ´´Ð¡£

  Ñõ»¯Ð¿Èý´ÎÌáÖÊ´´Ð£¬Öð´ÎʵÏÖÔöЧ¼õÁ¿£¬Õû³¦Ð¿£¨¹ýθÐÍÁ«»¨Ð¿£©¹ýθÂÊ¡Ý70%£¬ÔÚ×ÐÖíµÄÓÃÁ¿ÒѼõÖÁ1.0-1.5kg/¶ÖÁÏ£¨¼ûÏÂͼ£©¡£

Õû³¦Ð¿±È±íÃæ»ý

3377ÌåÓýÈë¿ÚʵÑéÊÒ

  4.¶ÔÓÚÁòËáп£¬µÍÂȶø¸ßÎȶ¨ÐÔ¡£

  ¾«Éî¼Ó¹¤¶ø³ÉµÄµÍÂÈп¾ßÓеÍÂÈÀë×Ó¡¢µÍÖØ½ðÊô¡¢¸ßÎȶ¨ÐÔµÄÌØµã£¨¼ûÏÂͼ£©¡£

ÁòËáп

ÁòËáп

  5.¶ÔÓÚÓлúп£¬¾«ÒæÇ󾫣¬¹æÄ£Ò»Á÷¡£

  ¸Ê°±Ëáп

  3377ÌåÓýÈë¿ÚÊǸʰ±Ëáп¡¢¸Ê°±ËáÍ­ÍÅÌå±ê×¼Æð²Ýǣͷµ¥Î»£¬ÓëͬÀà²úÆ·Ïà±È¾ßÓÐÓÎÀë¸Ê°±ËẬÁ¿¸üµÍ¡¢½ðÊôÓë¸Ê°±ËáĦ¶û±È¸üµÍ¡¢ÂçºÏÎﺬÁ¿¸ü¸ßµÈÓÅÊÆ£¨¼ûÏÂ±í£©¡£

3377ÌåÓýÈë¿ÚÓлú΢Á¿

  3377ÌåÓýÈë¿Ú¸Ê°±ËáпÔÚ¾§ÌåÐÎ̬ºÍ¾ùÒ»ÐÔ·½ÃæÒ²×öµÃ¸üºÃ£¨¼ûÏÂͼ£©£¬¾ßÓиüºÃµÄÎȶ¨ÐÔ£¬¼¸ºõ²»ÆÆ»µÆäËüÓªÑøËØ£¬ÌرðÊÊÓÃÓÚÓªÑøÅ¨¶È¸ß-»îÐÔÎïÖʺ¬Á¿¸ßµÄËÇÁÏ£¨³ÆÎªË«¸ßËÇÁÏ£©¡£

3377ÌåÓýÈë¿Ú¸Ê°±Ëáп


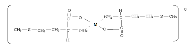
µ°°±ËáпòüºÏÎĦ¶û±È2:1£¬¼ò³Æµ°°±Ëáп£©

  Ħ¶û±È2:1µÄµ°°±ËáÐ¿ÎªÕæÕýË«»·òüºÏÓлúÑΣ¨¼ûÏÂͼ£©£¬ÓÅÊÆÓУº¢ÙÒºÏàºÏ³É£¬òüºÏ³¹µ×£¬ÓÎÀë½ðÊôº¬Á¿¸üµÍ£»¢ÚÁ¬Ðø¶à´ÎÏ´µÓ£¬ÁòËá¸ù¼°ÔÓÖʺ¬Á¿¼«µÍ£¬±£Ö¤¸ß´¿¶È£»¢ÛÏȽøµÄ¹â´ß»¯½µ½âÎ²Æø´¦Àíϵͳ£¬±£Ö¤¿É³ÖÐøÉú²ú¡£

3377ÌåÓýÈë¿ÚÓлú΢Á¿

  ÔÚÖØÒªµÄ¼ì²âÖ¸±ê·½Ã棬òüºÏÂʸü¸ß£¬ÓÎÀë½ðÊô¡¢ÁòËá¸ù¡¢ÖؽðÊôµÈº¬Á¿¸üµÍ£¨¼ûÏÂ±í£©¡£

3377ÌåÓýÈë¿ÚÓлú΢Á¿

  ÏÔ΢¾µ¹Û²ì3377ÌåÓýÈë¿Ú2:1µ°°±ËáпÐÎ̬¸ü¹æÔò¡¢¸ü¾ùÔÈ£¨¼ûÏÂͼ£©

Óлú΢Á¿

  ôÇ»ùµ°°±ËáÀàËÆÎïÂ磨òü£©ºÏп£¨Ä¦¶û±È1:1£¬¼ò³ÆôÇ»ùµ°°±Ëáп£©¡£

  3377ÌåÓýÈë¿ÚôÇ»ùµ°°±ËáпµÄºËÐÄÓÅÊÆÊÇÒ»´Î»¯Ñ§ºÏ³É£¬²»¾­ºóÆÚ»ìºÏ´¦Àí£¬º¬Á¿¸ü¸ß£¬¸ü´¿£¨¼ûÏÂ±í£©¡£

3377ÌåÓýÈë¿ÚôÇ»ùµ°°±Ëáп


 ¾µ¼ì3377ÌåÓýÈë¿ÚôÇ»ùµ°°±Ëáп³Ê¾§Ì壬¾ùÔÈ·Ö²¼£¬ÎÞÔÓÖÊ£¬¾§Ð͸ü¼Ñ¡¢²úÆ·¸ü´¿£¨ÈçÏÂͼ£©¡£

3377ÌåÓýÈë¿ÚôÇ»ùµ°°±Ëáп

  3377ÌåÓýÈë¿ÚµÄ¡°Ð¿¼Ò×塱ƷÀàÈ«¡¢Æ·Öʾ«£¬Îª¶¯ÎïÌṩÓÅÖÊÓªÑøÐԺ͹¦ÄÜÐÔпԴ£¬ÈÃÉúÃüÖ®»¨¾«²ÊÕÀ·Å¡£

¡¾±¾ÎıêÇ©¡¿ 3377ÌåÓýÈë¿ÚÓлú¿ó Ñõ»¯Ð¿ Õû³¦Ð¿

¡¾ÔðÈα༭¡¿

×îÐÂ×ÊѶ

sitemap¡¢µØÍ¼